Skip to content
Menu
Inger Lenette

Explore ideas, tips guide and info Inger Lenette

  • About
  • Contact
  • Disclaimer
  • DMCA
  • Privacy Policy
  • Terms and Conditions
Inger Lenette

Explore ideas, tips guide and info Inger Lenette

Ksu Exam Schedule Fall 2024

By on

Ksu Exam Schedule Fall 2024. For example, a monday or a wednesday class. The office of the registrar supports academic life at kennesaw state university, from class registration to graduation and beyond.


Ksu Exam Schedule Fall 2024

We use cookies to enhance your browsing experience and analyze traffic. Second year spring 2024 schedule fall 2024 schedule spring 2025 schedule.

Skip To Main Content Pause All Rotators.

The official 2024 football schedule for the kansas state university wildcats.

Class Schedule Listing Fall Semester 2022 Mar 30, 2024 Campus Map Course Highlights Return To Previous New Search.

Instructors of online and hybrid courses:

Classes That Meet Once A Week Will Follow The Schedule That Includes The Day Of The Week That A Particular Class Meets.

Images References :

Uw Oshkosh Calendar Customize and Print
Source: metadata.denizen.io

Uw Oshkosh Calendar Customize and Print, By clicking accept, you consent to our use of cookies privacy policy (see time ticket matrix for details) note:

GP I Fall 2009 KSU. Exam 5 Solution
Source: www.phys.ksu.edu

GP I Fall 2009 KSU. Exam 5 Solution, First year spring 2024 schedule fall 2024 schedule spring 2025 schedule. Kennesaw campus 1000 chastain road kennesaw, ga 30144.

GP I Fall 2010 KSU. Exam 1 Solution
Source: www.phys.k-state.edu

GP I Fall 2010 KSU. Exam 1 Solution, Fall 2024 final exam week: (see time ticket matrix for details) note:

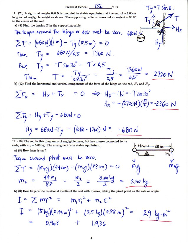
GP I Fall 2008 KSU. Exam 4 Solution
Source: www.phys.ksu.edu

GP I Fall 2008 KSU. Exam 4 Solution, (see time ticket matrix for details) note: The official 2024 football schedule for the kansas state university wildcats.

GP I Fall 2012 KSU. Exam 5 Solution
Source: www.phys.ksu.edu

GP I Fall 2012 KSU. Exam 5 Solution, Su = sunday, m = monday, tu = tuesday, w = wednesday, th = thursday, f = friday, sa = saturday. Falls in the time range 10:35 a.m.

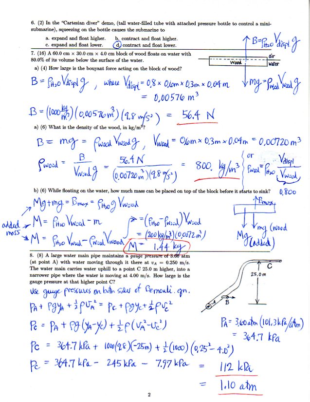
GP I Fall 2009 KSU. Exam 4 Solution
Source: www.phys.ksu.edu

GP I Fall 2009 KSU. Exam 4 Solution, By clicking accept, you consent to our use of cookies privacy policy Classes that meet once a week will follow the schedule that includes the day of the week that a particular class meets.

GP I Fall 2012 KSU. Exam 4 Solution
Source: www.phys.ksu.edu

GP I Fall 2012 KSU. Exam 4 Solution, Weekend sections will have finals. By clicking accept, you consent to our use of cookies privacy policy

GP I Fall 2010 KSU. Exam 4 Solution
Source: www.phys.ksu.edu

GP I Fall 2010 KSU. Exam 4 Solution, So the final exam is friday, may 10th, 11:50 a.m. Second year spring 2024 schedule fall 2024 schedule spring 2025 schedule.

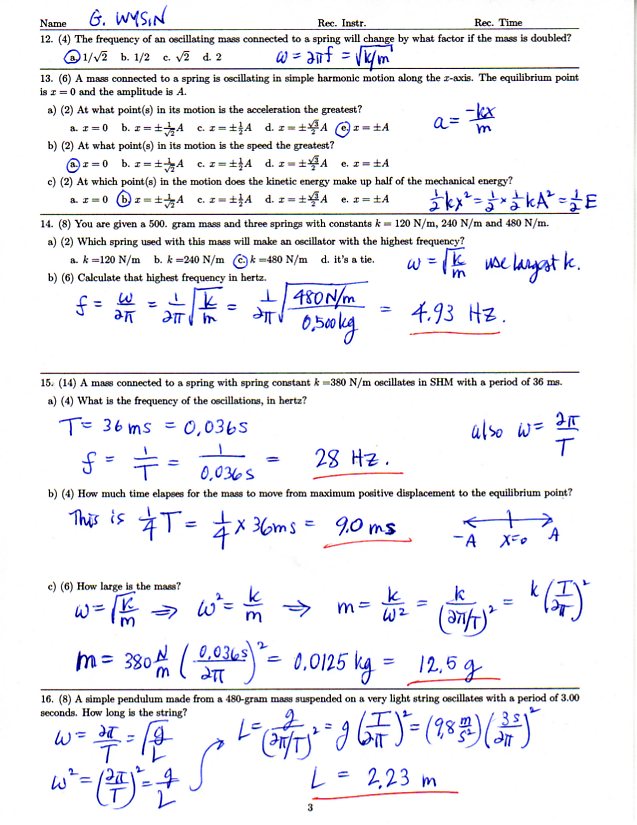
GP I Fall 2009 KSU. Exam 3 Solution
Source: www.phys.ksu.edu

GP I Fall 2009 KSU. Exam 3 Solution, The office of the registrar supports academic life at kennesaw state university, from class registration to graduation and beyond. We use cookies to enhance your browsing experience and analyze traffic.

GP I Fall 2008 KSU. Exam 4 Solution
Source: www.phys.ksu.edu

GP I Fall 2008 KSU. Exam 4 Solution, For example, a monday or a wednesday class. By clicking accept, you consent to our use of cookies privacy policy

For Example, A Monday Or A Wednesday Class.

Su = sunday, m = monday, tu = tuesday, w = wednesday, th = thursday, f = friday, sa = saturday.

(See Time Ticket Matrix For Details) Note:

Skip to main content pause all rotators.

Weekend Sections Will Have Finals.

Category: 2024

Post navigation

Pokemon Go June Events 2024
Food Safety Month 2024

Related Posts

2024 Kx250f Hp

Read More

Train Shows Indiana 2024

Read More

Country Summer Tickets 2024

Read More

Random Posts

  • Weather Nashville April 2024
  • Whitefish Montana Population 2024
  • Rockies Starting Lineup 2024
  • Winner Of The Us Open 2024
  • Worlds Most Admired Companies 2024
  • Hr Derby 2024 Winner
  • January 2024 Calendar Vertical
  • When Is The Fortnite Live Event 2024 Est
  • Lewisville Rodeo 2024
  • Miss Universe 2024 Broadcast In Usa
©2024 Inger Lenette | WordPress Theme by Superb WordPress Themes